北京蛋糕店(北京这家网红蛋糕店,造型可爱味道好)
2023-12-27 06:27:40
公式法因式分解(初中数学 丨因式分解常用的12种方法!)
把一个多项式化成几个整式的积的形式,这种变形叫做把这个多项式因式分解.因式分解的方法多种多样,现总结如下:
如果一个多项式的各项都含有公因式,那么就可以把这个公因式提出来,从而将多项式化成两个因式乘积的形式。
例1、 分解因式x2 -2x -x
x²-2x -x=x(x -2x-1)
由于分解因式与整式乘法有着互逆的关系,如果把乘法公式反过来,那么就可以用来把某些多项式分解因式。如,和的平方、差的平方
例2、分解因式a² +4ab+4b²
a²+4ab+4b² =(a+2b)²
要把多项式am+an+bm+bn分解因式,可以先把它前两项分成一组,并提出公因式a,把它后两项分成一组,并提出公因式b,从而得到a(m+n)+b(m+n),又可以提出公因式m+n,从而得到(a+b)(m+n)
例3、分解因式m2+5n-mn-5m
m2+5n-mn-5m= m2-5m-mn+5n
= (m -5m )+(-mn+5n)
=m(m-5)-n(m-5)
=(m-5)(m-n)
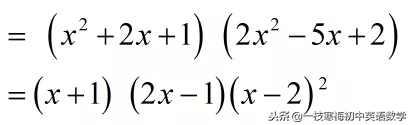
对于mx2+px+q形式的多项式,如果a×b=m,c×d=q且ac+bd=p,则多项式可因式分解为(ax+d)(bx+c)
例4、分解因式7x²-19x-6
分析:1 -3
7 2
2-21=-19
7x²-19x-6=(7x+2)(x-3)
对于那些不能利用公式法的多项式,有的可以利用将其配成一个完全平方式,然后再利用平方差公式,就能将其因式分解。
例5、分解因式x²+3x-40
解x²+3x-40=x²+3x+(9/4) -(9/4) -40
=(x+3/2) ²-(169/4 )
=(x+3/2+13/2)(x+3/2-13/2)
=(x+8)(x-5)
可以把多项式拆成若干部分,再用进行因式分解。
例6、分解因式bc(b+c)+ca(c-a)-ab(a+b)
bc(b+c)+ca(c-a)-ab(a+b)=bc(c-a+a+b)+ca(c-a)-ab(a+b)
=bc(c-a)+ca(c-a)+bc(a+b)-ab(a+b)
=c(c-a)(b+a)+b(a+b)(c-a)
=(c+b)(c-a)(a+b)
有时在分解因式时,可以选择多项式中的相同的部分换成另一个未知数,然后进行因式分解,最后再转换回来。


令多项式f(x)=0,求出其根为x1,x2,x3,……xn,则多项式可因式分解为f(x)=(x-x1)(x-x2)(x-x3)……(x-xn)
例8、分解因式2×4+7×3 -2×2-13x+6
令f(x)=2×4+7×3 -2×2-13x+6=0
通过综合除法可知,f(x)=0根为1/2 ,-3,-2,1
则2×4+7×3 -2×2-13x+6 =(2x-1)(x+3)(x+2)(x-1)
令y=f(x),做出函数y=f(x)的图象,找到函数图象与X轴的交点x1,x2,x3,……xn,则多项式可因式分解为f(x)=(x-x1)(x-x2)(x-x3)……(x-xn)
例9、因式分解x³+2×2-5x-6
令y=x³+2×2-5x-6
作出其图象,见右图,与x轴交点为-3,-1,2
则x³+2×2-5x-6=(x+1)(x+3)(x-2)
先选定一个字母为主元,然后把各项按这个字母次数从高到低排列,再进行因式分解。
例10、分解因式a²(b-c)+b²(c-a)+c²(a-b)
分析:此题可选定a为主元,将其按次数从高到低排列
a²(b-c)+b²(c-a)+c²(a-b)=a²(b-c)-a(b²-c²)+(b²c-c²b)
=(b-c) [a²-a(b+c)+bc]
=(b-c)(a-b)(a-c)
将2或10代入x,求出数P,将数P分解质因数,将质因数适当的组合,并将组合后的每一个因数写成2或10的和与差的形式,将2或10还原成x,即得因式分解式。
例11、分解因式x³+9×2+23x+15
令x=2,则x³+9×2+23x+15=8+36+46+15=105
将105分解成3个质因数的积,即105=3×5×7
注意到多项式中最高项的系数为1,而3、5、7分别为x+1,x+3,x+5,在x=2时的值
则x³+9×2+23x+15=(x+1)(x+3)(x+5)
首先判断出分解因式的形式,然后设出相应整式的字母系数,求出字母系数,从而把多项式因式分解。
例12、分解因式x²-x³-5×2-6x-4
分析:易知这个多项式没有一次因式,因而只能分解为两个二次因式.
设x4-x3-5×2-6x-4=(x2+ax+b)(x2+cx+d)
=x4+(a+c)x3+(ac+b+d)x2+(ad+bc)x+bd
所以 解得
则x4-x3-5×2-6x-4=(x +x+1)(x -2x-4)
2023-12-27 06:27:40
2023-12-27 06:25:25
2023-12-27 06:23:10
2023-12-27 06:20:56
2023-12-27 02:25:23
2023-12-27 02:23:19
2023-12-27 02:21:14
2023-12-27 02:19:09
2023-12-27 02:17:03
2023-12-27 02:14:59
2023-12-27 02:12:54
2023-12-27 02:10:49
2023-12-27 02:08:44
2023-12-27 02:06:39
2023-12-26 18:15:33
2023-12-26 18:13:19
2023-12-26 18:11:04
2023-12-26 18:08:49
2023-12-26 18:06:34
2023-12-26 18:04:19