kindle电子书在阅读中怎么退出阅读模式 kindle电子书在阅读中怎么退出页面
kindle电子书在阅读中怎么退出阅读模式 kindle电子书在阅读中怎么退出页面 又一滴时代的眼泪落下。 6月2日,亚马逊宣布将在一年后停止中国Kindle电子书店运营。作为亚马逊的爆款产品...
2025-08-26 17:13:48
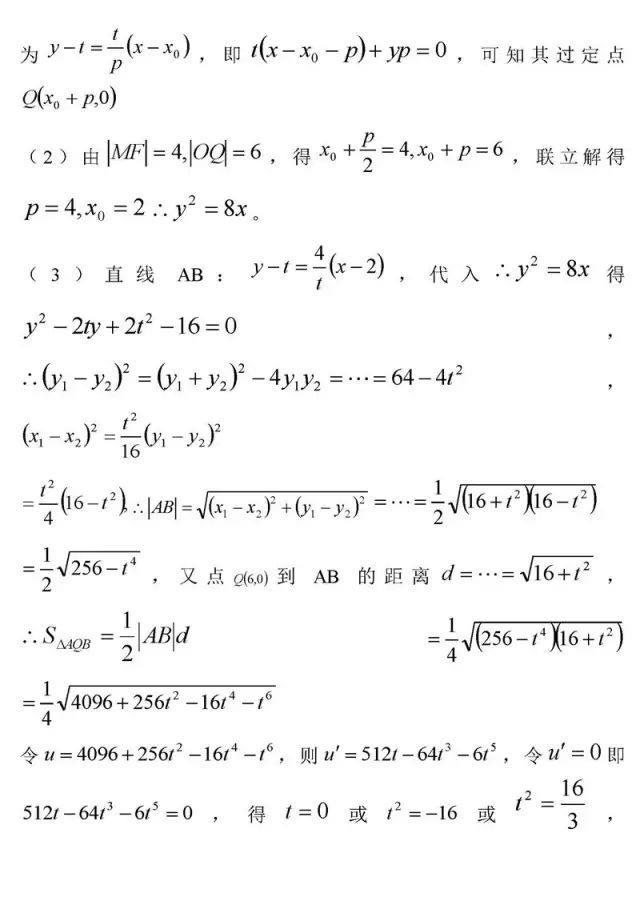
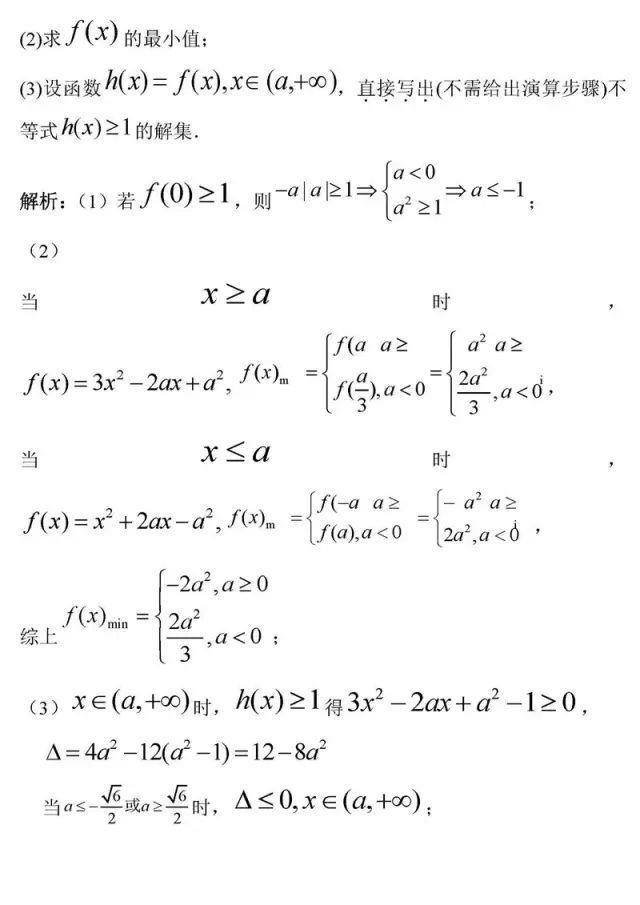
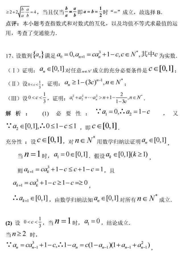
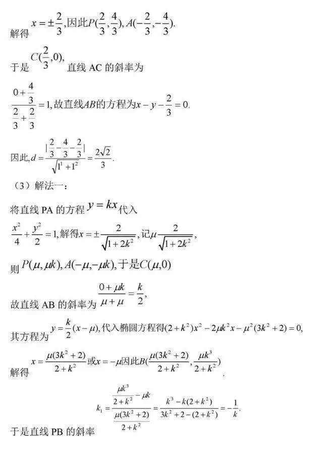
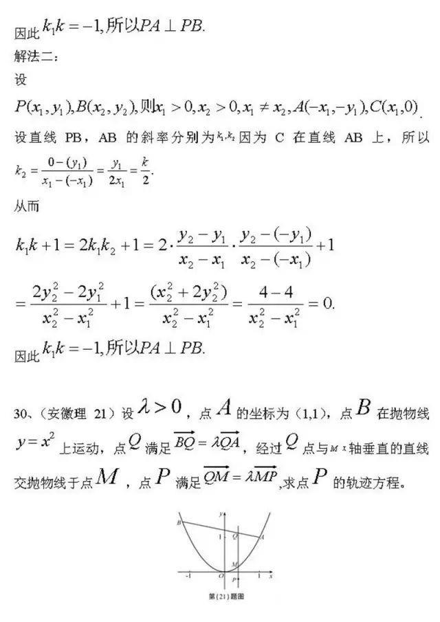
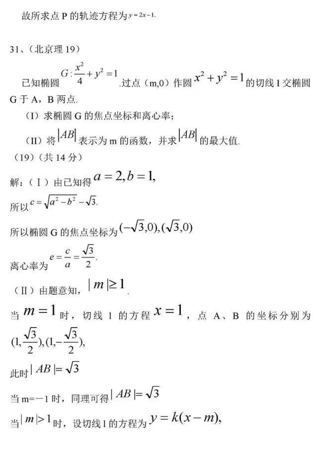
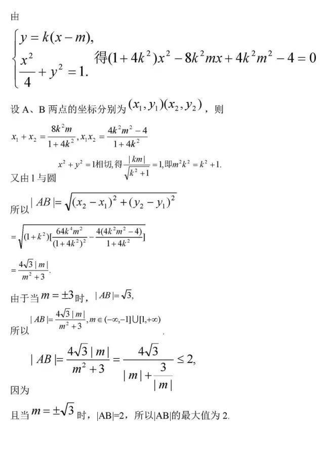
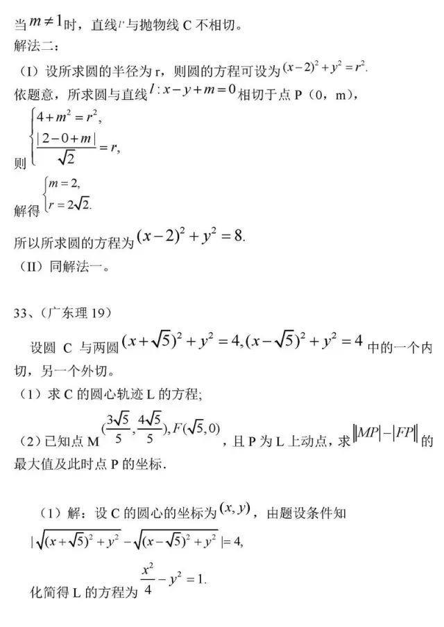
【高中数学】高中数学超经典50道题,涵盖各类知识点,复习必备!



































































2025-08-26 17:13:48
2025-08-26 17:11:33
2025-08-26 17:09:19
2025-08-26 17:07:04
2025-08-26 17:04:49
2025-08-26 17:02:34
2025-08-26 17:00:19
2025-08-26 16:58:05
2025-08-26 16:55:50
2025-08-26 16:53:35
2025-08-26 04:38:16
2025-08-26 04:36:02
2025-08-26 04:33:47
2025-08-26 04:31:32
2025-08-26 04:29:18
2025-08-26 04:27:03
2025-08-26 04:22:33
2025-08-26 04:20:18
2025-08-26 04:18:04