莎士比亚的作品及介绍(福利来了,莎士比亚常见作品大合集~)
2024-01-02 20:51:05
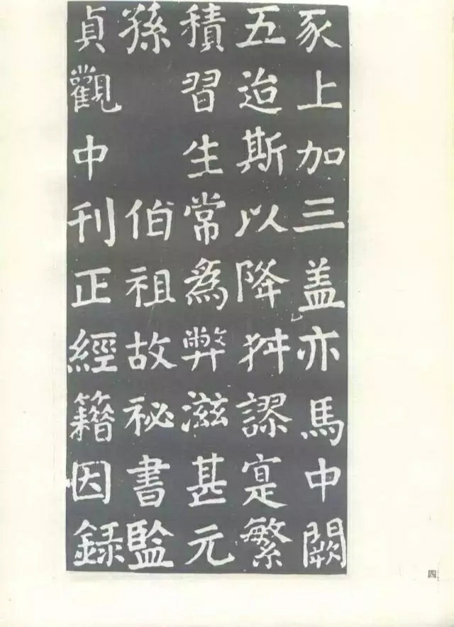
书法大家——颜真卿是哪朝人

颜真卿(709-784),字清臣,雍州万年县(今陕西省西安市),祖籍琅邪郡临沂县(今山东省临沂市),唐朝政治家、书法家,秘书监颜师古五世从孙 、司徒颜杲卿从弟。开元二十二年(734年),颜真卿登进士第,历任监察御史、殿中侍御史。后因得罪权臣杨国忠,被贬为平原太守,世称“颜平原”。安史之乱时,颜真卿率义军对抗叛军。后至凤翔,被授为宪部尚书。唐代宗时官至吏部尚书、太子太师,封鲁郡公,人称“颜鲁公”。
颜真卿书法精妙,擅长行、楷。初学褚遂良,后师从张旭,得其笔法。其正楷端庄雄伟,行书气势遒劲,创“颜体”楷书,对后世影响很大。与赵孟頫、柳公权、欧阳询并称为“楷书四大家”。
一、小楷名品 | 颜真卿小楷《麻姑仙坛记



二、颜真卿小楷《干禄字》









2024-01-02 20:51:05
2024-01-02 20:48:50
2024-01-02 18:21:43
2024-01-02 18:19:38
2024-01-02 18:17:33
2024-01-02 18:15:28
2024-01-02 18:13:23
2024-01-02 18:11:18
2024-01-02 18:09:13
2024-01-02 18:07:08
2024-01-02 18:05:03
2024-01-02 18:02:58
2024-01-02 05:04:55
2024-01-02 05:02:50
2024-01-02 05:00:45
2024-01-02 04:58:40
2024-01-02 04:56:35
2024-01-02 04:54:30
2024-01-02 04:52:25
2024-01-02 04:50:20