风湿有哪些症状表现(风湿病原来有100多种!出现这些症状就要当心了)
2023-12-24 15:35:12
磁场的基本性质(「物理」“磁场”知识点归纳)
一、基本概念
1.磁场的产生
(1)磁极周围有磁场。
(2)电流周围有磁场(奥斯特)。
安培提出分子电流假说(又叫磁性起源假说),认为磁极的磁场和电流的磁场都是由电荷的运动产生的。
(3)变化的电场在周围空间产生磁场(麦克斯韦)。
2.磁场的基本性质
磁场对放入其中的磁极和电流有磁场力的作用(对磁极一定有力的作用;对电流可能有力的作用,当电流和磁感线平行时不受磁场力作用)。
3.磁感应强度

(条件是L⊥B;在匀强磁场中或ΔL很小。)
磁感应强度是矢量。单位是特斯拉,符号为T,1T=1N/(A*m)=1kg/(A*s2)
4.磁感线
(1)用来形象地描述磁场中各点的磁场方向和强弱的曲线。磁感线上每一点的切线方向就是该点的磁场方向,也就是在该点小磁针N 极受磁场力的方向。磁感线的疏密表示磁场的强弱。
(2)磁感线是封闭曲线(和静电场的电场线不同)。
(3)要熟记常见的几种磁场的磁感线:

地磁场的特点:两极的磁感线垂直于地面;赤道上方的磁感线平行于地面;除两极外,磁感线的水平分量总是指向北方;南半球的磁感线的竖直分量向上,北半球的磁感线的竖直分量向下。
(4)电流的磁场方向由安培定则(右手螺旋定则)确定:对直导线,四指指磁感线方向;对环行电流,大拇指指中心轴线上的磁感线方向;对长直螺线管大拇指指螺线管内部的磁感线方向。
二、安培力 (磁场对电流的作用力)
1.安培力方向的判定
(1)用左手定则。
(2)用“同向电流相吸,反向电流相斥”(适用于两电流互相平行时)。
(3)可以把条形磁铁等效为长直通电螺线管(不要把长直通电螺线管等效为条形磁铁)。
2.安培力大小的计算
F=BLIsinα(α为B、L间的夹角)高中要求会计算α=0(不受安培力)和α=90º两种情况。
三、洛伦兹力
1.洛伦兹力的大小
运动电荷在磁场中受到的磁场力叫洛伦兹力,它可以看做是安培力的微观表现。
计算公式的推导:如图所示,整个导线受到的磁场力(安培力)为F安=BIL;其中I=nesv;设导线中共有N个自由电子N=nsL;每个电子受的磁场力为f,则F安=Nf。由以上四式得f=qvB。条件是v与B垂直。(v与B平行时洛伦兹力为零。)

2.洛伦兹力的方向
在用左手定则时,四指必须指电流方向(不是速度方向),即正电荷定向移动的方向;对负电荷,四指应指负电荷定向移动方向的反方向。
3.洛伦兹力的应用
带电粒子在匀强磁场中仅受洛伦兹力而做匀速圆周运动时,洛伦兹力充当向心力,因此有:

,由此可以推导出该圆周运动的半径公式和周期公式:

。
4.带电粒子在匀强磁场中的偏转
(1)穿过矩形磁场区。要画好辅助线(半径、速度及延长线)。穿越过程的偏转角由sinθ=L/R求出。侧移由R2=L2-(R-y)2解出。经历时间由

得出。
注意:这里射出速度的反向延长线与初速度延长线的交点不是宽度线段的中点,这点与带电粒子在匀强电场中的偏转结论不同!
(2)穿过圆形磁场区。画好辅助线(半径、速度、轨迹圆的圆心、连心线)。偏角可由求出。经历时间由得出。
注意:由对称性,正对圆心射入的例子必然背离圆心射出。
四、带电粒子在混合场中的运动
1.空间同时存在正交的匀强电场和匀强磁场
正交的匀强磁场和匀强电场组成“速度选择器”。带电粒子(不计重力)必须以唯一确定的速度(包括大小、方向)才能匀速(或者说沿直线)通过速度选择器。否则将发生偏转。这个速度的大小可以由洛伦兹力和电场力的平衡得出:qvB=Eq,

。在本图中,速度方向必须向右。
(1)这个结论与带电粒子的电性、电量都无关。
(2)若入射速度小于该速度,电场力将大于洛伦兹力,粒子向电场力方向偏转,穿越混合场过程电场力做正功,动能增大,洛伦兹力也增大,粒子的轨迹是一条复杂曲线;若入射速度大于该速度,粒子将向洛伦兹力方向偏转,穿越混合场过程电场力将做负功,动能减小,洛伦兹力也减小,轨迹也是一条复杂曲线。
2.带电粒子分别通过匀强电场和匀强磁场
3.带电粒子依次在电场、磁场中做连续运动
4.带电微粒在重力、电场力、磁场力共同作用下的运动(电场、磁场均为匀强场)
(1)带电微粒在三个场共同作用下做匀速圆周运动。必然是电场力和重力平衡,而洛伦兹力充当向心力。
(2)带电微粒在三种场共存区域中做直线运动。当其速度始终平行于磁场时,不受洛伦兹力,可能做匀速运动也可能做匀变速运动;当带其速度垂直于磁场时,只能做匀速直线运动。
五、质谱仪 加速器
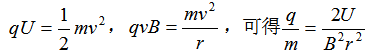
1.质谱仪
下图的两种装置都可以用来测定带电粒子的荷质比。

(1)带电粒子质量m,电荷量q,由电压U加速后垂直进入磁感应强度为B的匀强磁场,测得在该磁场中做圆周运动的轨道半径为r,则有:

(2)带电粒子质量m,电荷量q,以某一速度恰好能沿直线穿过速度选择器(电场强度E,磁感应强度B1),垂直进入磁感应强度为B2的匀强磁场。测得在该磁场中做圆周运动的轨道半径为r,则有:

2.回旋加速器
3.直线加速器
如图所示,质子源和2、4、6……金属圆筒接交变电源上端,1、3、5……金属圆筒接交变电源下端。质子从质子源由静止出发,被源、1间的电场加速后进入1圆筒内(筒把电场屏蔽,质子在筒内做匀速运动)出1筒后交变电源极性恰好改变,于是质子在1、2筒间再次加速……。由于质子在金属圆筒内作匀速运动的速度越来越大,因此圆筒要求越来越长。

2023-12-24 15:35:12
2023-12-24 15:32:57
2023-12-24 15:30:42
2023-12-24 15:28:28
2023-12-24 15:26:13
2023-12-24 15:23:58
2023-12-24 13:48:22
2023-12-24 13:46:17
2023-12-24 13:44:12
2023-12-24 13:42:07
2023-12-24 13:40:02
2023-12-24 13:37:57
2023-12-24 13:35:52
2023-12-24 13:33:47
2023-12-24 13:31:42
2023-12-24 13:29:37
2023-12-23 23:52:52
2023-12-23 23:50:47
2023-12-23 23:48:42
2023-12-23 23:46:37