四书五经有哪些,请问:儒家四书五经是哪些书;道家三玄是哪三玄?
2026-03-04 20:49:49
今年是什么年()
公元纪年是上世纪开始才被中国人用来表述年份的,那在之前大家是怎么称呼每年的名字的?并且是如何计算十年前、二十年前具体是哪一年的呢?
有人说,这还不简单,年号呗,如洪武三年、嘉靖十二年、康熙二十四年、乾隆四十八年…方志君说,这个回答也对,也不对,因为年号只有在明清才能被这么用,因为明清两代绝大部分时间里一个皇帝只用一个年号,而在之前两汉大唐还是两宋,一个皇帝在位期间变好几次年号是非常常见的,普通老百姓根本跟不上皇帝年号变化的节奏,并且要在更多的时间里比如魏晋南北朝、五代十国、宋辽金夏并立的时期,不同地方的人用的年号是不同的,互相之间如果用年号来对日子,那必然会出现驴唇不对马嘴的情况。

所以,在过去,老百姓用的更多的还是天干地支纪年法,比如2020年庚子鼠年、2021年辛丑牛年、2022壬寅虎年。
即将到来的春节,正是牛虎交接的日子。天干地支现在我们现在人看来好像非常的复杂,但其实,古人用了习惯了也非常好用。第一个字是天干,十年一轮回,甲乙丙丁戊己庚辛壬癸,第二个字是地支,子、丑、寅、卯、辰、巳、午、未、申、酉、戌、亥。

以2018年为例,2018年按照天干地支纪年,是戊戌年,那么2019年按照天干地支纪年就是己亥年。排列方式就是,在十天干里面,戊的后面是己,在十二地支里面,戌的后面就是亥。2020年同理,就是庚子年,亥后面没有了,我们就重新开始,所以2020年的地支是子。同理,2021年到2030年的天干依次为辛、壬、癸、甲、乙、丙、丁、戊、己、庚,地支依次是丑、寅、卯、辰、巳、午、未、申、酉、戌。这些是较为简单的。
如果是2048年呢?我们可以这样计算。
2048-2018=30.因为天干有10个,换句话说天干10年一个周期。那么我们可以让30除以10,即,30/10=3,余数为0。所以2048年的天干还是戊。地支是12年一个周期,所以让30除以12,即30/12=2……6,余数为6,因为2048年是在2018年之后的,所以从戌开始往后数6个地支即可,第6个是辰,那么2048年按照天干地支纪年就是庚辰年了。

刚才我们探讨的是未来某个年份的计算方式,那如果是给出一个以前的年份呢?
我们再看一个,如2000年。同样的方法,2018-2000=18,18/10=1……8,18/12=1……6。因为2000年在2018年之前,所以天干我们从戊往前数8个,或者往后数2个(天干周期是10,所以往前数8个和往后数2个是一样的)都是庚,地支往前数6个或者往后数6个(地支周期是12,所以往前数6个和往后数6个是一样的)都是辰,所以2000年按照天干地支纪年是庚辰年。

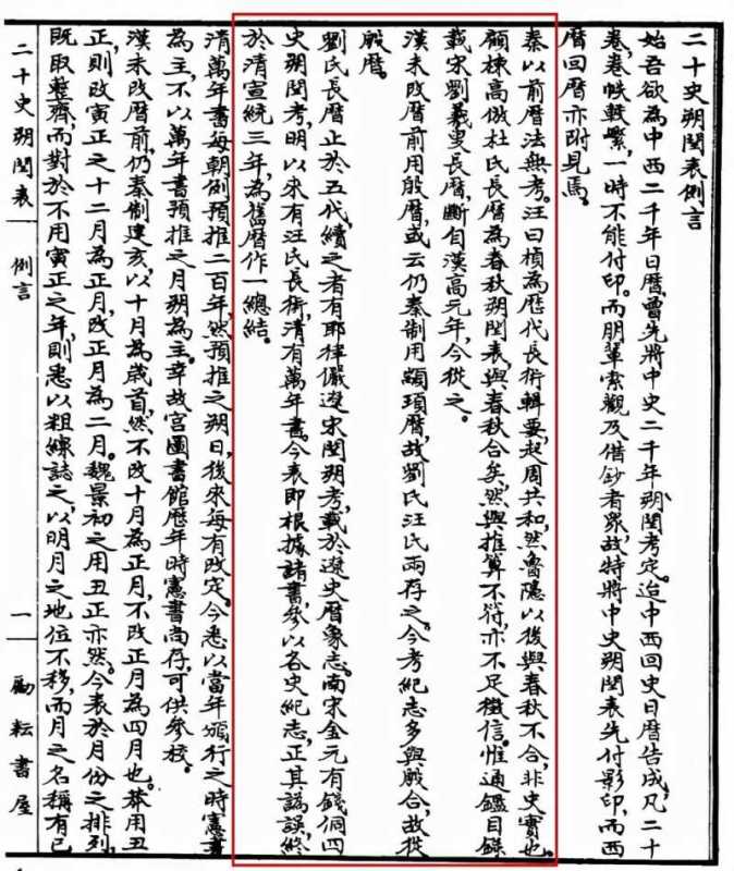
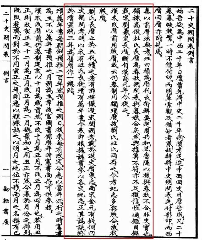
秦以前历法无考,汪曰桢为
《历代长术辑要》
,起周共和,然鲁隐以后与《春秋》不合,非史实也。顾栋高仿
杜氏《长历》
为
《春秋朔闰表》
,与《春秋》合矣,然与推算不符,亦不足征信。惟
《通鉴目录》载宋刘义叟《长历》
,断自汉高元年,今从之。汉末改历前用殷历,或云仍秦制用颛顼历,故刘氏、汪氏两存之。今考纪志多与殷合,故从殷历。刘氏《长历》止于五代,续之者有
耶律俨《辽宋闰朔考》
,载于《辽史·历象志》。南宋、金、元有
钱侗《四史朔闰考》
,明以来有
汪氏《长术》
,清有
《万年书》
,今表即根据诸书,参以各史纪志,正其讹误,终于清宣统三年,为旧历作一总结。
二十史朔闰表内容大概如下:

二十史朔闰表一页概览:

民国出版的这本书下面还有回历和西历年数。
还有文中提到的《资治通鉴目录》,鉴于资治通鉴编年体的性质,通鉴目录其实就是一个年份/大事表。
年经国纬,著其岁阳岁名于上,而各标《通鉴》卷数于下。又以刘义叟《长历》内朔闰月,及史所截七政之变营于上方,复摄书中精要之落散于其间。
目录一页概览(资治通鉴目录非常非常难用!):

资治通鉴目录一页概览
汪氏长术一页概览:

没错,除了民国的二十史朔闰表记录了公历对应时间外,都还是需要用数干支……
除此之外,古代纪年还有岁星纪年和十二生肖纪年。“岁星”就是木星,古人发现大约12年后木星会出现在星空同一位置,于是把一周期分成12等分,每一等分叫一星次,代表一年。并给他们起上名字。古人纪年虽然方法繁杂,但也充分代表了我国古代人民的智慧,为我们了解古代,了解中国历史,起到了巨大的作用。
参考文章:
1、梦长君:古代没有公历,怎么样才能知道一千年前是哪个朝代?
2、知乎:天干地支纪年的计算
3、中国集邮:不用公元纪年法,古人原来是这样纪年的!
2026-03-04 20:49:49
2026-03-04 20:47:35
2026-03-04 20:45:21
2026-03-04 20:43:07
2026-03-04 20:40:52
2026-03-04 20:38:38
2026-03-04 10:40:51
2026-03-04 10:38:36
2026-03-04 10:36:22
2026-03-04 10:34:08
2026-03-04 10:31:54
2026-03-04 10:29:39
2026-03-04 10:27:25
2026-03-04 10:25:11
2026-03-04 10:22:56
2026-03-04 10:20:42
2026-03-04 01:05:10
2026-03-04 01:02:56
2026-03-04 01:00:41
2026-03-04 00:58:27