为什么很多人选择丁克
2025-11-21 00:58:25
7号塑料杯耐多少温度(pc杯装100°c开水有毒吗)
塑料按长期使用温度分类,可分为通用塑料、工程塑料和高温工程塑料,其中高温塑料又被称为耐热塑料、高性能塑料、特种工程塑料等。

通用塑料
长期使用温度在100℃以下。通常包括PE、PP、PS、PVC、ABS。通用塑料是我们日常使用量最大的一类塑料,通常用作包装、日用品、玩具等。
工程塑料
的长期使用温度在100℃至150℃左右。五大工程塑料包括PA、POM、PBT、PC和PPO。通常应用于机械零件、汽车、电器电子等领域。
高温工程塑料
的使用温度在150℃以上,这类材料除了较高的耐热性和阻燃性外,通常还具有卓越的机械加工性能、耐老化性、尺寸稳定性和优良的电性能。可以用于替换金属材料,广泛应用于电子电器、航空航天、医疗器材、汽车、军事领域。是塑料金字塔顶端的材料。

常见的高温工程塑料分为以下8类:
一、高温尼龙
高温尼龙分为三类:
1、脂肪族尼龙——PA46
PA46是由丁二胺和己二酸缩聚而成的脂肪族聚酰胺,比起PA6和 PA66,PA46的每个给定长度的链上的酰胺数目更多,链结构更加对称,这使得它的结晶度可以高达70%,并赋予其非常快的结晶速度。
PA46的熔点为295℃,未增强的PA46的HDT(热变形温度)有160℃,而经过玻纤的增强后,其HDT可高达290℃ ,长期使用温度也有163℃。PA46独特的结构赋予了其它材料无法达到的独特性能
PA46主要应用于电子、航空航天、汽车。

帝斯曼30%玻纤增强PA46应用于飞机发动机镶板

帝斯曼40%玻纤增强PA46用于汽车进气歧管
2、半芳香尼龙——PPA
PPA由含苯环的二元酸和脂肪族二胺缩聚而成,其熔点介于310-325℃之间,热变形温度介于280-290℃。主要品种有PA4T、PA6T、PA9T、PA10T等。
相比普通的PA66,PPA的吸水率很低,即使在冷水中浸泡几年,其拉伸强度也可以保持80%以上,且PPA耐油性很好,即使在高温下也对润滑油、燃油有极高的抗性。PPA还具有极佳的尺寸稳定性和耐候性。
常用于汽车、电器电子、机械工业、日用品领域。

汽车喷油器

连接器
3、全芳香尼龙——PARA
PARA是由杜邦发明的,其中最著名的是Nomex(聚间苯二甲酰间苯二甲胺又叫芳纶1313)和Kevlar(全对位聚芳酰胺又叫芳纶1414)。
这类材料主要用于制备高性能纤维和片材,制成的纤维具有高强度、高刚性、高模量、高耐热、高介电强度的特点。
可以应用于超强纤维和增强材料,用于军事、航空和航天等结构部件。

芳纶1414防弹衣

索尔维PARA应用于一次性手术器具
二、聚苯硫醚(PPS)
聚苯硫醚(PPS)是近年来发展最快、用量最大的特种工程塑料,具有优异的耐高温性、耐化学性、耐候性、阻燃性、以及电性能,尺寸稳定性好等优势,被广泛应用于汽车、电子电气、机械行业、石油化工、制药业、轻工业以及军工、航空航天、5G通信等领域,是应用最广泛的特种工程塑料。

PPS也是目前中国国产化程度最高的特种工程塑料,自给率可以达到80%以上。
根据不完全统计,全球聚苯硫醚(PPS)主要企业产能超过20万吨。从产能分布来看,目前全球聚苯硫醚(PPS)行业产能主要集中于日本、中国。
截至2025年PPS主要企业产能汇总表

DIC、东丽、索尔维、吴羽等传统PPS巨头在PPS生产、技术等方面仍然是较为领先,它们四家的产能占全球产能56%以上。但是中国企业呈现快速崛起势头,浙江新和成、重庆聚狮等国产企业均已形成规模化生产,其他亦有多家企业已量产或在规划布局。
三、聚芳醚酮(PAEK)类
聚芳醚酮(PAEK),是主链由亚苯基环通过醚键、酮键连接而成的聚合物,按照醚基、酮基数量和顺序不同可分为聚醚醚酮(PEEK)、聚醚酮酮(PEKK)、聚醚酮(PEK)、聚醚酮 醚酮酮(PEKEKK)等。
1、PEEK(聚醚醚酮)
PEEK是一种综合性能优良的特种工程塑料。其耐热性、耐水性、耐溶剂性、电绝缘性优异;疲劳强度高;耐放射性是所有塑料中最好的;氧指数较高,燃烧时产生的烟少且无毒。

PEEK人造骨骼
2、PEK(聚醚酮)
PEK由于其分子结构中的醚键和酮基的比例低于PEEK,因而其熔点和玻璃化温度均高于PEEK ,耐热性优于PEEK,连续使用温度为250℃。

PEK型材
3、PEKK(聚醚酮酮)
PEKK中文名叫聚醚酮酮,是一种高性能材料。这种材料熔点很高,差不多有300℃到600℃,还有很强的耐化学性和耐磨损性。近年来PEKK在3D打印领域的应用进展飞速,比传统3D打印材料具有更好的性能。

PEKK应用于3D打印
四、聚酰亚胺(PI)类
聚酰亚胺(PI)是分子结构含有酰亚胺基链节的芳杂环高分子化合物 ,是目前工程塑料中耐热性最好的品种之一,能耐受极端温度,热分解温度高达600℃,在-269℃的液氦中不会脆裂。此外还拥有极佳的机械性能、耐酸碱性能、生物相容性和电性能。

聚酰亚胺用于高性能零部件
聚酰亚胺工程塑料可分为既有热固性也有热塑性,可分为聚均苯四甲酰亚胺 (PMMI) 、聚醚酰亚胺 (PEI) 、聚酰胺一酰亚胺 (PAI)等,在不同领域有着各自的用途。
PMMI在1.8MPa的负荷下热变形温度达360℃,电性能优良,可用于特种条件下的精密零件 ,耐高温自润滑轴承、密封圈、鼓风机叶轮等 ,还可用于与液氨接触的阀门零件,喷气发动机燃料供应系统零件 。
PEI具有优良的机械性能、电绝缘性能、耐辐照性能、耐高温和耐磨性能,熔融流动性好,成型收缩率为0.5%~0.7%,可用注射和挤出成型,后处理较容易,还可用焊接法与其他材料结合,在电子电器、航空、汽车、医疗器械等产业得到广泛应用。
PAI的强度是当前非增强塑料中最高的,拉伸强度为190MPa,弯曲强度为250MPa,在1.8MPa负荷下热变形温度高达274℃。PAI具有良好的耐烧蚀性和高温、高频下的电磁性,对金属和其他材料有很好的粘接性能,主要用于齿轮 、轴承和复印机分离爪等,还可用于飞行器的烧蚀材料、透磁材料和结构材料。
五、聚砜(PSU)类
PSU是略带琥珀色、非晶型透明或半透明聚合物,其力学性能优异、刚性大、耐磨、高强度,即使在高温下也保持优良的机械性能是其突出的优点;其范围为为-100~150℃,,长期使用温度为160℃,短期使用温度为 190℃。
聚砜有普通双酚A型PSU(即通常所说的PSU)、聚苯砜和聚醚砜。
1. 普通双酚A型PSU的分子式:

砜基的共轭效应提供了抗氧化性和热稳定性;醚链改善了韧性,苯环保证了其力学强度与模量。
2. 聚苯砜PPSU的分子式:

聚苯砜主链上的苯环,提供了高的耐热性和机械性能;醚键提供了优良的流动性和加工性能。
3. 聚醚砜PESU的分子式:

醚基提供了柔顺性及高流动性,砜基提供了耐热性,亚苯基提供了刚性。
双酚A型聚砜、聚芳砜、聚醚砜的性能比较

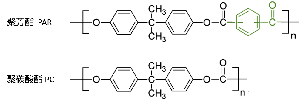
六、聚芳酯(PAR)
聚芳酯(PAR)是主链上含有苯环和酯键的热塑性树脂。PAR具有良好的透光率(接近90%)、韧性、耐热性、弹性回复、耐候性和阻燃性能,连续使用温度最高达到170℃。主要用于精密器件、汽车、医疗、食品及日用品。

PAR用于车灯零部件
PAR结构与PC相似,其性能大体一样,可共用模具成型,但PAR的主链上芳环密度高,使得PAR耐热性比PC更好,热变形温度比PC高20~40℃,且耐紫外线性、耐蠕变性优异。但断裂伸长率和抗冲击性能不如聚碳酸酯。

PAR和PC的性能比较

七、液晶聚合物(LCP)
LCP中文名称为液晶化合物,所谓“液晶”就是在熔融状态既拥有液体的流动性,又保持晶体的分子有序排列状态的物质。
LCP的机械性能优秀,最大的特点是随着壁厚的变薄,相对强度反而增大。LCP拥有较好的热性能,连续使用温度可以达到200℃-300℃。

LDS-LCP材料 用于手机天线
LCP的介电常数和介电损耗很小,因此被应用于电子器件上,如连接器、插槽、开关、支架和传感器等。最广受研究关注的是手机5G天线的应用。
八、氟塑料类
氟塑料(Fluoroplastie)指用氟树脂制成的塑料。主要品种有聚四氟乙烯(PTFE)、四氟乙烯-乙烯共聚物(ETFE)、聚全氟乙丙烯(FEP),聚偏氟乙烯(PVDF)等。使用温度在150℃-260℃之间。
来源:工程塑料应用
免责声明:所载内容来源于互联网,微信公众号等公开渠道,我们对文中观点持中立态度,本文仅供参考、交流。转载的稿件版权归原作者和机构所有,如有侵权,请联系我们删除。
2025-11-21 00:58:25
2025-11-21 00:56:10
2025-11-21 00:53:56
2025-11-21 00:51:41
2025-11-21 00:49:27
2025-11-21 00:47:12
2025-11-21 00:44:58
2025-11-21 00:42:43
2025-11-21 00:40:28
2025-11-21 00:38:14
2025-11-20 19:20:47
2025-11-20 19:18:32
2025-11-20 19:16:17
2025-11-20 19:14:03
2025-11-20 19:11:48
2025-11-20 19:09:34
2025-11-20 19:07:19
2025-11-20 19:05:04
2025-11-20 19:02:50
2025-11-20 19:00:35